Votaciones y empates

En unas votaciones hay dos candidatos A y B , en la urna hay a votos para A y b para B con b<a ¿Cuántas posibilidades hay de que antes que termine el recuento se produzca un empate?

Ejemplo, si a =2 y b=1 las posibilidades de recuento son

AAB    ABA    BAA 

las dos últimas son las que producen un empate en el recuento., la probabilidad de empate es 2/3

Solución

Si a es 2  y b, 3 . los posibles recuentos son


Los recuentos marcados son los que antes de finalizar produjeron un empate. Así la probabilidad de empate en este caso es 8/10

En general, con b < a (ambos en IN)

contemos las secuencias que producirán un empate y en las que va liderando B hasta el empate,

basta contar estas pues cada secuencia liderada por B hasta el empate da una liderada por A , y viceversa, pues basta cambiar A por B hasta el empate.

BBABAA...

AABABB...

El truco pues es contar las posibles secuencias de empate en las que B lidera hasta el mismo.

Dado que B tiene menos votos, si B va a liderar hasta el empate, la secuencia empezará por B y esta condición es necesaria y suficiente para que la misma produzca un empate.

La probabilidad de que una secuencia comience por b es

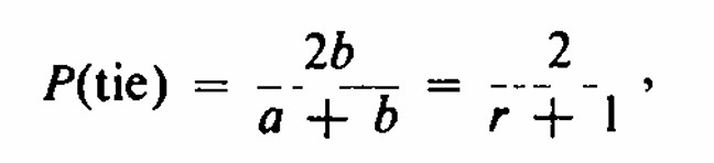
Y teniendo en que hay tantas secuencias de empate en las que lidera B hasta el mismo como liderando A, la probabilidad de un empate, tomando

siendo r=a/b

 

Simulación de secuencias

Juego de secuencia aleatoria




 

 

Créditos
Traducción del problema 22 del libro Fifty challenging problems in probability , MOSTELLER

Vídeo introducción con lumen5.com

Simulación realizada por chatGPT

 

 


Consolación Ruiz Gil Abril 2024  https://www.matsolin.com/empates/index.htm